Correção da prova do Vestibular da UFPR 2023
O time de professores do Elite Curitiba está corrigindo as questões da prova de vestibular UFPR. A página será atualizada à medida que as questões forem respondidas pelos professores.
INGLÊS
Texto 1
Gramática usada no texto bem simples, simple past e past continuous, assuntos bem trabalhados em sala de aula.
Questão 83 – o crânio encontrado era de um Sloth (bicho preguiça) portanto um animal que se move devagar (slowly) letra B.
Questão 84 – blob significa bolha e foi usado como referência ao crânio encontrado e não sobre Perus, portanto letra E, pois todas as outras opções se referem a ave.
Questão 85 – The two e Both são sinônimos portanto letra C.
Texto 2
Questão 86 – daredevil está explicado no contexto de dangerous things/ not worry.
Questão 87 – raise Money = gather together some cash.
Texto 3
Questão 88 – o texto deixa evidente que essa experiência vai ” chacoalhar ” o que já se sabe sobre a preservação de órgãos e a pesquisa foi feita em porcos, portanto letra E.
Texto 4
Questão 89 – pin down significa definir , letra C ( define) = sinônimos.
Questão 90 – sartonial e tailored ambas significam feitas sob medida, letra E.
Em um contexto geral a prova de Inglês estava de fácil resolução visto que várias técnicas foram estudadas durante as aulas para evitar erros óbvios e para trabalhar com o jogo de sinônimos ou palavras de um mesmo campo semântico.
GEOGRAFIA
“A prova deste ano mostrou um esvaziamento de questões ligadas à Geografia Física do Brasil/Mundo (relevo, clima, hidrografia, etc..). Contudo, não foi surpresa a massiva presença de questões ligadas à Geografia Humana (demografia, industrialização, geopolítica, economia, etc.) Como destaques, podemos citar a questão mais “fora da casinha” (69 – Shopping Centers), que pode ter feito os candidatos pensarem um pouco mais. Além de se fazer menção também a questão 76, o item A pode ser passível de recurso. As demais questões exigiram um conhecimento mediano de causa dos(as) candidatos(as).
Questão 69 – Uma questão que pedia uma análise sobre o terceiro setor da economia. Em especial, sobre sua diversificação no espaço geográfico brasileiro.
Item A – Os shoppings centers não promovem a competição com o comércio de rua, visto que, o público alvo destes é divergente em função de suas rendas.
Item B – A restrição da ocupação do espaço pelos shoppings centers, ocorre em função da maior ou menor fragilidade socioeconômica do mercado consumidor, por exemplo.
Item C – A elevação do processo de urbanização brasileiro subsidia a ocorrência de shopping centers no espaço. Contudo, o impulso mencionado tem seu início já em meados de 1980-90.
Item D – Correto.
Item E – A generalização do da especialização de consumo é erroneamente atribuída.
Questão 70 – Uma questão direta sobre os conhecimentos de dinâmicas demográficas.
Item A – Criado por Mahbub ul Haq e Amartya Sen, sem ter necessariamente a pretensão mencionada, podendo ser informações complementares.
Item B – As desigualdades mencionadas se elevam mais rapidamente em países de baixa renda do que em países de renda elevada. O Índice de Gini seria mais adequado.
Item C – O IDH é amplamente utilizado pela ONU, e não necessariamente pelo BM e FMI.
Item D – Correta.
Item E – A utilização da renda per capita como indicador pode mascarar esta percepção.
Questão 71 – Esta questão pede a interpretação da interação das atividades econômicas, frente a exploração/substituição de nossos recursos vegetacionais.
Item A – Correta* (Entretanto, a menção sobre reforma agrária aparece de maneira forçosa. Pois, houveram loteamentos pioneiros paralelos à construção da Transamazônica. Se por reforma agrária, entendermos apenas repartição/fornecimento de lotes, faz sentido tal afirmação).
Item B – A extensão sugerida da Mata Atlântica é incorreta, bem como, sua ocupação para implementação de atividades econômicas.
Item C – O ciclo da borracha no Brasil tem duração do final do Séc. XIX e início do Séc. XX com um declínio acentuado e breve retomada no período da 2ª G.M. A borracha era extraída da própria floresta amazônica. Seu curto período de duração se deu pela biopirataria inglesa.
Item D – Infelizmente a ocupação do bioma amazônico permanece de maneira desenfreada.
Item E – A ocupação do bioma Cerrado pelo agronegócio é massiva.
Questão 72 – A referida questão solicita ao candidato(a), a compreensão sobre os processos de urbanização de maneira direta.
Item A – Correto.
Item B – A presença de cortiços no espaço urbano, é marcadamente central e não periférica.
Item C – Mesmo com o fenômeno da gentrificação periférica, empreendimentos imobiliários não costumam atender tal público estipulado pelo item em questão.
Item D – As políticas habitacionais para famílias de baixa renda priorizam a ocupação e regularização de áreas periféricas e não centrais.
Item E – As cidades de países desenvolvidos apresentam densidade demográfica elevada.
Questão 73 – Uma questão mais conceitual e analítica sobre as representatividades dos espaços, poderes e políticas adotadas e suas inter relações ao longo tempo.
Item A – A geopolítica não é de exclusiva aplicabilidade de regimes totalitários.
Item B – O pensamento geopolítico na constituição do território nacional brasileiro, bem como, na possibilidade de potência regional se fez/faz aplicável.
Item C – Correto.
Item D – O número baixo de colônias obtidas por Alemanha e Itália, limitava primordialmente áreas de extração de recursos no processo colonialista. O surgimento do nazifascismo ocorre posteriormente no processo de neocolonialismo, onde tanto a geopolítica quanto a geografia política são utilizadas.
Item E – O acesso ao mar não pode ser entendido como fator determinante para o desenvolvimento econômico. Promove facilidades evidentemente, mas não fator crucial.
Questão 74 – Esta questão exige a compreensão dos modelos e formas de produção e ocupação do espaço rural nacional e mundial.
Item A – Os sovkhoses e kolkhoses não podem ser generalizados pela alta produtividade.
Item B – Correta.
Item C – O aumento da produtividade agrícola no Brasil não pode ser atrelado ao aumento das áreas cultivadas.
item D – O extenso território canadense não é garantia de elevada produção agropecuária, visto que, suas condições climáticas não são favoráveis para tais atividades em todo seu território.
Item E – A presença de climas e territórios áridos e semiáridos apresentam-se como fatores limitantes, contudo, a produção agrícola não pode ser atrelada a trocas comerciais por elementos minerais e combustíveis fósseis.
Questão 75 – Questão de aplicabilidade direta sobre os processos de industrialização mundial.
Item A – O desenvolvimento tecnológico industrial norte americano não pode ser atrelado resumidamente à indústria bélica.
Item B – De fato, com a implementação do toyotismo o Japão alcançou um grande salto econômico, todavia, a partir da década de 1990 este crescimento declinou e a China ocupou o seu lugar neste quesito.
Item C – A superação do subdesenvolvimento dentro da China, ainda não foi efetivada por completo. Existem áreas na região oeste do país que carecem de muito investimento.
Item D – O processo de industrialização tardio em países periféricos se deu pela substituição de importações e desenvolvimento agroindustrial.
Item E – Correto.
Questão 76 – Aplicação direta de conceitos sobre as dinâmicas demográficas no Brasil e no mundo.
Item A – Este item pode ser passível de recurso. A BEMFAM – Sociedade Civil Bem-Estar Familiar no Brasil, criada em 1966 não era um órgão governamental de fato, todavia, servia como adjunto ao governo militar na década de 1970 com iniciativas neomalthusianas para o controle de natalidade.
Item B – A adoção da “Política do Filho Único” na China, reduziu as taxas de natalidade no país, contudo, não chegou a uma marca nula, e as taxas de urbanização chinesa viriam a crescer exponencialmente em meados da metade dos anos de 1980.
Item C – Correta.
Item D – As taxas de natalidade elevadas em países subdesenvolvidos, não foram motivadas pela população rural. Visto que, temos uma população majoritariamente morando em centros urbanos.
Item E – Nos países desenvolvidos não houve uma adesão massiva de políticas antinatalistas.
Questão 77 – Esta questão evoca a aplicação dos conhecimentos sobre a dinâmica de organização territorial brasileira.
Item A – O PIB da região Nordeste vem crescendo nas últimas décadas e não mostra uma posição estacionária.
Item B – Correto.
Item C – A divisão territorial brasileira em cinco macrorregiões não irá contemplar milhares de municípios em cada uma delas (Região Norte). A centralização dos respectivos planejamentos públicos, não são cunhados sob uma lógica autoritária.
Item D – A união da região Sul e Sudeste conformando a denominada Região Centro-Sul, está disposta na regionalização proposta por Pedro Pinchas Geiger e não pelo IBGE.
Item E – A extinção e reativação posterior das autarquias mencionadas no item, não interfere diretamente nessa regionalização proposta pelo IBGE.
LÍNGUA PORTUGUESA
Excelente prova produzida pela banca, a qual contemplou desde interpretação de texto, morfologia, sintaxe, semântica até figuras de linguagem. Nosso aluno estava bem preparado para realizar as questões que estavam fáceis a medianas, com exceção de uma sinonímia com pouco uso no cotidiano (pecha), o que pode ter confundido a cabeça do candidato.
37 – C)O trecho apresenta um efeito circular, uma vez que faz retomada ao contexto inicial do períodos por meio das conjunções “que” e “também”.
38 – E)“mergulhar contemplativamente” possui sentido metafórico, pois deixa a mensagem subentendida; já “o que tem atrás de si” é denotativo porque apresenta efeito literal da mensagem.
39 – 1) “para que” é uma conjunção subordinada adverbial de finalidade;
2) “trata-se” faz referência à multitarefa;
3) “que se assemelha” é um pronome pessoal;
A) 4) “Por isso” está se articulando/concluindo o período anterior.
40 – E) pois o texto apresenta a tese de que
41 – A)No contexto da frase, “positividade” pode ser substituído por “” e “disseminada” por “difundida”.
42 – B)A canção apesenta oposição de ideias/palavras em todos os versos – função essa reconhecida pela figura de linguagem “antítese”.
43 – E)Os versos apresentam a ideia de que quando algo é muito bom, benéfico, deve-se desconfiar, logo a letra “e” é a analogia perfeita aos versos apresentados.
44 – D
1) INCORRETA – O texto menciona que o vilão representa aquilo que é errado, injusto, que foge à moral defendida pelo herói, mas em nenhum momento á a ideia que o público goste de tal por causa dessas características.
2) CORRETA – O herói e o vilão representam características contrárias e, de acordo com o texto, são figuras complementares em uma narrativa.
3) CORRETA – Essa informação está na primeira linha do texto, o conceito de herói é variável pelo fato de estar profundamente ligado á cultura que o criou.
45 – D) O argumento central do texto é o fato de não sabermos o porquê das ações dos vilões ser justamente proposital e, assim, utilizado por narrativas que criam vilões na ficção e na realidade.
46 – B) Mais uma questão de sinônimos, essa mais complexa que a outra, principalmente pelo uso da palavra “alcunha” não ser comum e, ainda, ser sinônimo nesse contexto do vocábulo “pecha” (defeito, algo negativo, imperfeito). Assim, “antagonista” é sinônimo de “opositor”, “revogar” de “anular” e “alcunha” de “pecha”.
47 – C) São três casos de anáfora (retomam aquilo que já foi mencionado): o pronome pessoal “ele”, na primeira linha, retoma o “conceito de herói”; “seus”, “pessoa comum” e “suas” refere-se a vilões.
48 – B)A conjunção subordinada adverbial concessiva “mesmo assim” possui sentido opositor dentro do texto.
SOCIOLOGIA
QUESTÃO 78
COMENTÁRIO:
A sociologia do trabalho analisa de forma critica as relações de trabalho na era da informação, sendo um dos fatores para a degradação do trabalho e da vida do trabalhador. A flexibilização, conhecida também como “uberização” apresenta uma perpetuação da exploração e um enfraquecimento dos sindicatos e associações de trabalhadores após reformas trabalhistas. A greve dos entregadores foi um dos acontecimentos que denunciou essa forma de degradação através da flexibilização.
QUESTÃO 79
COMENTÁRIO:
Os novos movimentos sociais surgiram no final do século XX, combatendo as diversas formas de opressão e discriminação, reivindicando real, já que apesar de haver leis que garantem a cidadania, a maioria ainda vivencia uma desigualdade estrutural, o que impede o exercício dos seus direitos e o acesso as oportunidades iguais. As políticas públicas visam reparar injustiças históricas e garantir a integração e inclusão na sociedade.
QUESTÃO 80
COMETÁRIO:
Florestan Fernandes em seu livro sobre a Integração do Negro na sociedade de classe, refuta estudos de 1930 que afirmavam a existência de uma democracia racial a partir da miscigenação, denunciando a falta de integração pós abolição e o processo de marginalização e exclusão da população negra no Brasil, perpetuando o preconceito e o racismo.
QUESTÃO 81
COMENTÁRIO:
Gênero é um conceito essencial para compreender a construção dos comportamentos femininos e masculinos e as relações sociais, possibilitando a desnaturalização de aspectos que o senso comum acredita ser inato. Através do estudo de gênero é possível compreender e explicar as diversas desigualdades na sociedade, assim como a violência simbólica. Possibilitando reflexões sobre a própria forma de experenciar o gênero, abordado na obra da Djamila Ribeiro indicação para filosofia.
QUESTÃO 82
Questão interessante que compara dois clássicos da sociologia, Durkheim e Weber com o objetivo de definir o objeto de estudo de Weber, que é a ação social. Só poderia ser a (d), pois ação social é a ação orientada em relação a outro, ou, outros, podendo ser motivadas racionalmente ou irracionalmente.
FILOSOFIA
QUESTÃO: 64
COMENTÁRIO:
No texto Merleau – Ponty apresenta a arte de Cézanne como a materialização do fenômeno pela razão e percepção, tal como se vê, sente e vivência, que difere dos clássicos, pois a pintura para Cézanne era a própria captação da realidade.
QUESTÃO: 65
COMENTÁRIO:
Berkeley é um empirista idealista, que nega a existência da matéria, argumentando que a realidade é o que se percebe com os sentidos, criticando Locke por afirmar a existência da matéria, do objeto fora da percepção do sujeito. Sendo que as letras A, C, D e E, afirmam exatamente o contrário da constatação de Berkeley.
QUESTÃO 66:
No apêndice Espinosa reflete e argumenta as fontes da ignorância e do prejuízo dos homens, através da perspectiva do Deus Imanente crítica crença em uma causa final, que tudo existe para uma finalidade, sem buscar compreender o meio, apenas a finalidade, um dos motivos da ignorância que faz com que os homens não saibam de fato o que é natureza e Deus. Em outra passagem ele continua a descrever esses modos de pensar e onde reside parte dessa ignorância.
“Não obstante, acrescentei ainda o seguinte, a saber, que esta concepção finalista subverte completamente a Natureza, porquanto o que na realidade é causa considera-o como efeito, e inversamente; e, além disso, o que por natureza é anterior fá-lo posterior, e, por fim, o que é mais elevado e mais perfeito torna-o em mais imperfeito.”
QUESTÃO 67:
COMENTÁRIO:
Nessa obra Maquiavel apresenta os fatores que fizeram com que Roma tivesse uma experiência republicana perfeita em comparação a outras experiências. Essa “perfeição” foi possibilitada pela existência do conflito entre os grupos sociais, sendo o conflito a fonte para a defesa e garantia da liberdade. Assim como a oposição essencial para a existência da democracia.
QUESTÃO 68:
e) que assegura a todo grupo social uma existência digna.
COMENTÁRIO:
Na sua obra, Djamila esclarece o que é lugar de fala, a localização (local) social a partir da interseccionalidade. Problematiza o quanto o discurso autorizado e hegemônico impede esse local de fala e a necessidade dos lugares de fala para garantia de narrativas e experiências coletivas de grupos silenciados historicamente, como forma de ampliar o conhecimento.
BIOLOGIA
Comentário geral
“As questões da prova de Biologia da UFPR distribuíram temas conceituais e de contexto atual. Não houve questionamentos mais profundos sobre doenças virais, vacinas, nem sobre a Zoologia. Eram temas prováveis, que não apareceram. A boa questão sobre agroflorestas e controle biológico abordou conceitos que nem todos os livros trazem. Outra boa questão foi a de genética molecular, com a abordagem de éxons e de expressão gênica. as demais foram numa linha mais tradicional e previsível. Prova dentro da normalidade.”
01 – A cor da pele em humanos é uma característica quantitativa, constituindo um traço adaptativo, cuja variação possui relação com o território ocupado e com o tempo em que isso se deu. Considerando as informações apresentadas, assinale a alternativa correta.
a) Considerando a distribuição de uma característica quantitativa em uma população, a maioria dos indivíduos irá se concentrar nos extremos de uma curva normal e poucos indivíduos irão se concentrar no centro da curva.
b) Fenótipos quantitativos variam muito em uma população devido à interação de recessividade e dominância entre um par de alelos de um gene que controla a característica.
*c) A grande variação fenotípica das características quantitativas se deve em parte a uma base genética poligênica.
d) Em uma população, as características qualitativas em comparação às quantitativas são as mais frequentes, já que as características podem ser facilmente distinguidas em classes, como por exemplo a estatura dos indivíduos.
e) As características quantitativas possuem padrões de herança definidos, que podem ser obtidos a partir de cruzamentos mendelianos.
COMENTÁRIO PROFESSOR IVO:
Questão conceitual de Poligenia. A alternativa “a” está incorreta, pois a distribuição das Heranças Quantitativas segue a curva normal, com menos indivíduos nos fenótipos extremos e mais nos intermediários; a alternativa “b” está incorreta ao afirmar que os fenótipos variam em função da interação da recessividade e dominância entre 1 par de alelos. Na verdade ela ocorre pela ação aditiva de dois ou mais pares de gens, em função dos alelos dominantes; a alternativa “c” está correta, pois, de fato, a grande variação fenotítipa das características quantitativas se deve a uma padrão poligênico, além das fortes influências ambientais sofridos por essas heranças, em geral; a alternativa “d” está incorreta, pois as heranças qualitativas não se distribuem em classes. Além disso a altura citada é um exemplo de herança quantitiva; a alternativa “e” está incorreta, pois os cruzamentos mendelianos geram proporções de resultados diferentes aos das heranças quantitativas.
02 – O gene da calcitonina codifica tanto o hormônio calcitonina quanto o peptídeo relacionado ao gene calcitonina (CGRP). O CGRP atua como neurotransmissor em tecidos do sistema nervoso, enquanto a calcitonina regula os níveis de cálcio e fosfato sanguíneos por ação sobre os ossos. A partir do processamento do transcrito primário do gene da calcitonina, dois mensageiros maduros que se diferem pela presença de um exon são formados, a partir dos quais serão produzidos a calcitonina e o CGRP. Considerando as informações apresentadas, assinale a alternativa correta.
a) A informação genética é armazenada nos aminoácidos que compõem o DNA, sendo traduzida em RNA mensageiro e transcrita em proteínas – fluxo esse que determina o fenótipo dos indivíduos.
b) A replicação do DNA é o processo responsável pela expressão dos genes, sendo que esse processo se dá por meio da síntese de segmentos de DNA a partir de sequências específicas.
c) A diversidade de tipos e funções das células que formam os tecidos do corpo humano se dá pelos diferentes códigos genéticos que cada tipo possui.
d) O processo que sintetiza o hormônio calcitonina e o peptídeo relacionado ao gene calcitonina (CGRP) é chamado de transcrição, no qual os RNAs transportadores são responsáveis por levar o mensageiro para o citoplasma da célula onde as proteínas são sintetizadas.
*e) A produção do hormônio calcitonina e do peptídeo relacionado ao gene calcitonina (CGRP) a partir de um mesmo gene se deve ao mecanismo de splicing alternativo.
COMENTÁRIO PROFESSOR IVO:
Questão muito bem formulada acerca de genética molecular. A alternativa “a” esá incorreta, pois a informação genética NÃO é armazenada em aminoácidos e esses não compõe o DNA; a alternativa “b” está incorreta, pois a replicação do DNA é um fenômeno diferente ao da expressão dos genes (tradução); a alternativa “c” está incorreta, pois o código genético é universal e, portanto, o mesmo em quaisquer células; a alternativa “d” está incorreta, pois descreve a tradução e não a transcrição; a alternativa “e” está correta, pois o “splicing” é o fenômeno que define os éxons a serem usados na expressão de um gene. Isso confirma o que está descrito no enunciado para o gene da calcitonina e do CGRP.
03 – A membrana celular, por delimitar o meio intra e extracelular, funciona como uma “portaria”, controlando o intercâmbio de substâncias, recebendo e emitindo sinais. Para cumprir essas diversas funções, a membrana conta com estruturas e sistemas especializados, como por exemplo os receptores de membrana, responsáveis pela detecção de estímulos diversos, inclusive agentes invasores, e as proteínas, que atuam no transporte de substâncias. Considerando as informações apresentadas, assinale a alternativa correta.
*a) Agentes infecciosos conseguem infectar células humanas porque interagem com receptores celulares específicos, enganando esse sistema de reconhecimento que permite a entrada desses agentes nas células.
b) A passagem da água para fora da célula, em resposta à inserção desta em um meio concentrado em solutos, é feita por meio das bombas iônicas.
c) A bicamada fosfolipídica da membrana celular é altamente permeável a moléculas hidrofílicas, uma vez que delimita o compartimento celular em ambientes aquosos.
d) Os receptores de membrana responsáveis por detectar os estímulos são estruturas compostas por lipídio e fosfato, formando moléculas denominadas fosfolipídios que contêm uma cauda apolar e uma cabeça polar.
e) Os vírus, parasitas intracelulares obrigatórios, infectam células humanas por meio do processo de exocitose.
COMENTÁRIO PROFESSOR IVO:
Questão de nível médio acerca de membranas celulares. Alternativa “a” está correta, pois muitos agentes infecciosos entram nas células ao interagir com receptores de membrana que não são disponibilizados nas membranas para esses agentes. Daí a expressão “enganam”; a alternativa “b” está incorreta, pois a água se move por espaços entre as moléculas da membrana plasmática (osmose); a alternativa “c” erra ao afirmar que a membrana é altamente permeável a moléculas hidrofílicas, ou seja, polares. A membrana é semipermeável a essas moléculas e a passagem ocorre graças à mediação de moléculas transportadoras de forma controlada; a alternativa “d” está incorreta, pois os receptores de membrana são proteínas e não fosfolipídeos; a lternativa “e” está incorreta, pois a exocitose é a saída de substâncias da célula.
04 – O metabolismo animal requer que as células sejam supridas com oxigênio e o gás carbônico seja eliminado em um processo de troca gasosa com o ambiente que chamamos de respiração. Sobre o tema, assinale a alternativa correta.
a) A respiração branquial se dá pela superfície do corpo que precisa ser mantida sempre úmida, ocorrendo, portanto, em animais que vivem na água ou em ambientes úmidos.
*b) A respiração traqueal, presente em alguns animais adaptados à vida terrestre, não possui relação com a circulação, uma vez que os sistemas de traqueias levam diretamente o oxigênio às células do corpo.
c) Os sacos aéreos são estruturas anexas ao pulmão das aves que, além de auxiliarem o voo dos animais, atuam na excreção do ácido úrico.
d) O pulmão dos mamíferos é formado por uma grande quantidade de tubos finos chamados alvéolos e minúsculas bolsas chamadas brônquios, altamente vascularizadas, por onde a troca gasosa ocorre.
e) O metabolismo celular consiste de reações químicas que visam à formação de adenosina trifosfato (ATP) a partir de glicose e gás carbônico.
COMENTÁRIO DO PROFESSOR THIAGO ZENI:
a) a respiração pela superfície do corpo é a cutânea; b) respiração traqueal típica dos insetos é constituída por traqueias que se abrem na superfície do corpo e conduzem o ar até as células, sem envolver o sistema circulatório; c) sacos aéreos conectados aos pulmões das aves facilitam o voo ao deixar o corpo mais leve e aumentar a renovação do ar nos pulmões; d) os tubos finos são denominados bronquíolos e as minúsculas bolsas são os alvéolos; e) a respiração celular aeróbica utiliza a energia para a construção do ATP proveniente da reação da glicose com o gás oxigênio.
05 – Sobre a contração muscular esquelética, é correto afirmar:
a) O sistema contrátil depende da concentração de íons Ca++ no mioplasma, que altera as células actina e miosina, promovendo a contração.
*b) Estímulos nervosos promovem a liberação de acetilcolina na fenda sináptica, o que leva à despolarização da membrana da célula muscular.
c) Actina e miosina são liberadas na fenda sináptica, o que gera um potencial de ação e promove a contração muscular esquelética.
d) O deslizamento das células de actina sobre as de miosina é iniciado pela liberação de ATP no sarcômero.
e) A despolarização da miosina promove a liberação passiva de íons Ca++ até a membrana da actina, promovendo a contração muscular.
COMENTÁRIO DO PROFESSOR THIAGO ZENI:
a) actina e miosina são fibras proteicas depositadas no citoplasma das células musculares; b) a placa motora ocorre com a liberação do neurotransmissor acetilcolina na fenda sináptica, desencadeando a despolarização da membrana; c) actina e miosina não são neurotransmissores e, portanto, não são liberadas na fenda sinaptica; d) actina não é célula; e) quem despolariza é a membrana das células e não a superfície das proteínas actina e miosina.
06 – Considere que o destino dos heterótrofos é se alimentarem de um autótrofo, ou ainda de outro heterótrofo que, por sua vez, alimentou-se de um autótrofo. Isso pode continuar por muitos níveis tróficos, mas no início sempre há um autótrofo. A esse respeito, é correto afirmar:
a) Os heterótrofos são a base da cadeia alimentar, responsáveis pela produção primária e pela maior produção de biomassa.
b) Os heterótrofos são carnívoros predadores de herbívoros autótrofos, que são a base da cadeia alimentar e consumidores de maior biomassa.
c) Seres autótrofos estão na base da cadeia alimentar, pois são produtores e consomem diretamente os seres fotossintetizantes.
*d) Seres fotossintetizantes são base de cadeia alimentar e servem de alimento para consumidores primários, que são alimento para consumidores secundários.
e) Em uma cadeia alimentar, os autótrofos estão sempre no início, mas também podem comportar-se como consumidores primários e secundários.
COMENTÁRIO DO PROFESSOR IVO:
Questão simples e conceitual de Ecologia. A alternativa “a” está errada, pois os autótrofos é que são a base da cadeia alimentar; a “b” está errada, pois não existem herbívoros autótrofos; a “c” está errada, pois os autótrofos não consomem seres fotossintetizantes, afinal eles produzem suas próprias moléculas orgânicas; a “d” está com os conceitos corretos; a “e” está incorreta, pois os autótrofos sempre e tão somente estão no início da cadeia alimentar.
07- Existem 39 espécies diferentes de aves-do-paraíso que vivem na Nova Guiné e nas ilhas vizinhas. São pássaros coloridos e com plumagem incomum e rituais de acasalamento complexos que incluem dança, canto e poses. Os jovens machos herdam esses passos de dança de seus pais, depois os refinam através da prática e da observação dos adultos. Menos óbvias, mas igualmente importantes, são as fêmeas vigilantes: são suas escolhas que decidem quais danças chegam à próxima geração.
(Cornell Lab of Ornithology‘s Birds of Paradise project. Disponível em: https://thekidshouldseethis.com/post/birdsof-paradise-cornell-lab-ornithology. Adaptado.)
A respeito da evolução dos rituais de acasalamento das aves-do-paraíso, é correto afirmar:
a) Os rituais de acasalamento são sujeitos à seleção sexual que altera o código genético dos machos para atrair mais parceiras e aumentar o sucesso reprodutivo.
b) A seleção natural promove mudanças genéticas nos machos, pois a seleção sexual atua na competição entre os machos e não na seleção pelas fêmeas.
c) As aves-do-paraíso apresentam danças, cantos e poses elaboradas devido a mutações epigenéticas produzidas pela seleção sexual.
d) A seletividade das fêmeas promove o surgimento de mutações que geram rituais de acasalamento complexos, favorecidos pela seleção sexual.
*e) Danças, cantos e poses das aves-do-paraíso são consequência da seleção sexual, promovida pela preferência das fêmeas por tais características.
COMENTÁRIO DO PROFESSOR IVO:
Questão que explora a seleção sexual a sua grande importância evolutiva. A Alternativa “a” está errada, pois os rituais de acasalamento e a seleção sexual não alteram o código genético (e tampouco a sequência de bases dos genes, se isso fosse afirmado); a “b” está errada, pois a seleção natural não promove mudanças genéticas. O restante da alternativa está errado também, pois a seleção sexual atua na escolha das fêmeas; a “c” e “d” estão erradas, pois a seleção sexual não produz mutações; a “e” está correta, pois as escolhas das fêmeas permitem a manutenção de determinados padrões de cantos, danças e exibições.
08 – O uso em larga escala de agrotóxicos no cultivo de alimentos tem consequências negativas para o ambiente e para a saúde dos consumidores. O Brasil é um dos países com maior consumo de agrotóxicos e a exposição aos agrotóxicos pode causar uma série de doenças.
(INCA – Instituto Nacional do Câncer, Ministério da Saúde. Disponível em: https://www.inca.gov.br/exposicao-no-rabalho-e-no-ambiente/agrotoxicos. Adaptado.)
A respeito de alternativas disponíveis ao uso de agrotóxicos, é correto afirmar:
*a) O controle biológico de pragas propõe conter a proliferação de pragas utilizando seus inimigos naturais, como predadores e parasitas.
b) As agroflorestas são constituídas por monoculturas selecionadas e utilizam apenas de agrotóxicos liberados pela legislação nacional.
c) O controle biológico de pragas prevê a utilização apenas de agrotóxicos que não apresentam risco à saúde humana.
d) Nas agroflorestas, são utilizados agrotóxicos apenas para pragas resistentes, em quantidades mínimas e apenas uma vez ao ano.
e) No controle biológico de pragas, são utilizadas sementes geneticamente modificadas resistentes a herbicidas.
COMENTÁRIO DO PROFESSOR IVO:
Questão atual, bem colocada sobre manejos sustentáveis na agricultura. A alternativa “a” está correta, pois controle biológico está conceituado de forma adequado; a “b” está incorreta, pois as agroflorestas combinam espécies florestais nativas e produção agrícola. Assim, não são monoculturas; a “c” está errada, pois controle biológico não utiliza agrotóxicos; as premissas da alternativa “d” não tem fundamento como regra; a “e” está errada, pois não se usa OGM´s em controle biológico, como seu conceito.
09 – A respeito das trocas gasosas em tecidos e órgãos das plantas, é correto afirmar:
a) As folhas são as partes das plantas que mais realizam trocas gasosas com o ambiente, garantindo que a taxa de fotossíntese seja sempre mais alta do que a taxa respiratória.
b) Em cactáceas, as trocas gasosas ocorrem somente durante dia, pois a alta incidência de luz solar promove a abertura dos estômatos.
*c) Devido à baixa disponibilidade de oxigênio dissolvido na água ou presente no solo, plantas de mangues retiram oxigênio do ar por meio de pneumatóforos.
d) Plantas são adaptadas a manter as trocas gasosas em taxas constantes, independentemente das variações de temperatura e luminosidade ambiental.
e) As plantas realizam apenas respiração anaeróbica, pois o gás oxigênio não é utilizado pela planta, mas liberado para a atmosfera durante a fotossíntese.
COMENTÁRIO DO PROFESSOR THIAGO ZENI:
a) Em períodos de baixa luminosidade a planta tem a taxa de respiração equivalente ou maior que a da fotossíntese; b) cactáceas abrem os estômatos durante a noite e fecham durante o dia para evitar a desidratação; c) apresentam raízes aéreas com pneumatóforos para a realização das trocas gasosas em ambiente submerso a maior parte do tempo; d) a produtividade vegetal depende diretamente da temperatura e luminosidade do meio, e) as plantas realizam respiração celular aeróbia, com fixação do gás oxigênio necessário para prosseguir a reação do ciclo de Krebs e a cadeia respiratória, com formação de ATP.
MATEMÁTICA
10 – Considere as equações 𝒂 + 𝒃 = 𝒄² e 𝒂 + 𝒃 + 𝒄 = 𝟐𝟎. Assinale a alternativa que corresponde à quantidade de triplas ordenadas (𝒂, 𝒃, 𝒄) que satisfazem simultaneamente essas duas equações, sendo 𝒂, 𝒃, 𝒄 números inteiros
positivos.
a) 11.
b) 12.
c) 13.
d) 14.
►e) 15.
Resolução:
11 – O Índice de Massa Corporal (IMC) de uma pessoa adulta é dado pela fórmula:

Admitindo-se que a altura de uma pessoa adulta é constante, se, durante um ano, ela aumentar sua massa, então é
correto afirmar que nesse período o gráfico de seu IMC em função de sua massa é parte de uma:
a) reta horizontal.
►b) reta crescente.
c) curva crescente côncava para cima.
d) parábola.
e) senoide.
Resolução:


Resolução:
14 – Sejam 𝒓 e 𝒔 retas no plano cartesiano que são perpendiculares e se intersectam no ponto (3,3). Sabendo-se que a reta 𝒓 intersecta o eixo 𝒙 no ponto (2,0), assinale a alternativa que corresponde ao valor numérico da área do triângulo delimitado pelas retas 𝒓 e 𝒔 e pelo eixo 𝒙.
a) 12.
►b) 15.
c) 21.
d) 24.
e) 30.
Resolução:

Resolução:
16 – Os ângulos internos de um polígono convexo de 20 lados estão em progressão aritmética com razão de 4° (graus).
Qual é o produto em graus entre o maior ângulo interno e o menor ângulo interno desse polígono?
a) 20800.
b) 22600.
►c) 24800.
d) 26600.
e) 26800.
Resolução:
17 – As únicas raízes reais do polinômio 𝒑(𝒙) dado pelo determinante abaixo são –2 e –1.

Sabendo-se que o polinômio 𝒒(𝒙) = 𝒂𝒙 𝟐 + 𝒃𝒙 + 𝒄 (com 𝒂, 𝒃 e 𝒄 constantes) tem as mesmas raízes reais de 𝒑(𝒙), é correto afirmar que:

Resolução:

Resolução:
QUÍMICA
Questão 55
Questão básica sobre radioatividade onde os conhecimentos sobre as emissões radioativas eram suficientes para responder, não exigindo conceitos mais aprofundados sobre o tema e de fácil compreensão.
Questão 56
Questão simples sobre eletroquímica que exigiu do aluno apenas o conhecimento básico sobre diferença de potencial levando em conta que as espécies de maiores potenciais de redução que o chumbo são aqueles que poderão oxidar o mesmo.
Questão 57
Tal questão destaca um detalhe simples da Cinética Química sobre a atuação de catalisadores, que é uma abordagem fundamental deste conteúdo, que diminui a Energia de Ativação de uma reação, acelerando assim todo processo químico.
Questão 58
Para resolver tal questão o candidato teria que observar na estrutura química apresentada a presença de carbono quiral (assimétrico) o que tornou a mesma muito acessível e de simples resolução.
Questão 59
Assim como em todas as provas do vestibular tradicional da UFPR, tal questão exigiu o conhecimento em reconhecimento de funções orgânicas, o que tornou a questão simples e básica para respondê-la.
Questão 60
Conteúdo clássico envolvendo o conhecimento sobre reações orgânicas de adição sendo que a reação citada se tratava de uma das mais simples reações desta classe (Adição em alcenos)
Questão 61
O assunto abordado nesta questão é Ligação Química que através de uma análise bem simples da estrutura química o candidato poderia reconhecer a presença dos dois tipos comuns de ligação que são a covalente e a iônica.
Questão 62
Tal questão poderia ser considerada de nível médio pois cobrou um cálculo fundamental em química que é o número de mols (quantidade de matéria) que se trata dos conteúdos iniciais do assunto Cálculo em Química.

Questão 63
O conteúdo exigido nesta questão é Concentração das Soluções onde a mesma exigiu uma leitura mais cuidadosa para dar atenção aos dados e valores citados. Pode-se considerar uma questão de nível médio.

Resumo: Excelente prova de química, onde pudemos observar a diversificação dos conteúdos tradicionais da disciplina, não explorando assuntos mais complexos da Físico – Química.
LITERATURA
A prova contemplou a maioria dos livros indicados, a questão 50 se mostrou a mais difícil, pedindo detalhes de personagens laterais na trama, com foco no enredo, o que reafirma a importância da leitura completa da obra.
49.
a)Leito de folhas verdes é um poema narrativo.
b)I-Juca Pirama é um poema narrativo.
c)Mãe d’agua é um poema narrativo.
d)A pastora é um poema narrativo.
e)Correta. O poema Os beijos não é narrativo.
50.
a)O protagonista Amâncio não era noivo de Hortência.
b)O segredo que Amélia teria para revelar era a carta de Amâncio para Hortência.
c)Correta. De fato, Nini havia perdido um filho e depois disso tornou-se histérica. ( A afirmativa não traz a informação sobre a morte do marido, pois Nini perdeu o marido e depois o filho, sendo que ambos os momentos de abalo emocional acarretaram seu estado de loucura).
d)Lúcia não era esposa de Campos, a personagem vivia com Pereira.
e)Amâncio não insistiu para que a mãe viesse morar no Rio de Janeiro, na verdade, ele queria voltar ao Maranhão para rever a mãe.
51.
a)Os versos indicados não fazem relação ao Dia dos Mortos.
b)Correta. Para o Severino, os rios da região tinham água vitalícia. “Os rios que correm aqui têm água vitalícia.”
c)Após a conversa dos coveiros, Severino compreende que o próprio enterro seguia.
d)Seu José não faz a pergunta mencionada.
e)Não existe relação entre o tamanho da cova e o tamanho dos versos.
52.
a)Carolina tem consciência política e se revolta pelo descaso do Estado com relação aos que vivem na favela.
b)Carolina não trata seus filhos com descaso.
c)Correta. A narrativa do diário apresenta o sofrimento do homem relegado à condição mais desesperada e humilhante de vida.
d)Correta. Com linguagem simples, a autora se utiliza de metáforas para expressar sua dura realidade.
53.
a)Matraga e Joãozinho Bem-Bem se matam em confronto.
b)Manuel Fulô e Targino não são personagens do conto A Hora e a vez de Augusto Matraga.
c)Dionora foi embora com Ovídio Moura.
d)Targino não tinha o corpo fechado.
e)Correta. Matraga recupera a honra e a coragem no momento da morte.
54.
a)Não se trata de eventos sobrenaturais, mas metáforas sobre o olhar do escritor e as dores da vida.
b)Correta. “eu fui feita para quebrar em geral eles apenas se espatifam …” O verso traz a ideia figurada de “quebrar”, se machucar.
c)A palavra retomada é ” talheres”.
d)O eu lírico afirma que não mastiga os vidros.
e)O eu lírico afirma não passar a noite deitado no chão de mármore.
HISTÓRIA
19 – Questão sobre o antigo Egito:
a) A base econômica do antigo Egito é agricultura de regadio; E Escravidão é mão de obra e não base econômica.
b) Zigurates são templos mesopotâmicos.
c) Outras classes privilegiadas eram donas de terras.
d) Essa relação era inexistente.
e)Engenheiros , técnicos em irrigação e outras profissões eram contratadas para obras egípcias.
Resposta: E
Comentário: Surpreende uma questão sobre Egito, pois as civilizações antigas orientais não fazem parte da programação. Entra como Civilizações africanas, que faz parte da programação.
20 –
a) A motivação das cruzadas tem a ver com a tomada da Terra Santa, não com o Iconoclastismo, que foi um movimento herético do Império Bizantino.
b) Não foi o Cisma do oriente a causa fundamental das Cruzadas, mais a tomada da Terra Santa.
c) A Tomada da Capital é em 1453, e as Cruzadas são de 1096 até 1270.
d) O Avanço dos turcos Seljúcidas se dá principalmente no século XI, inclusive a cidade Santa de Jerusalém é tomada em 1078. O oriente Cristão pede ajuda ao ocidente.
e) A Revolta de Nika se dá no governo de Justiniano, 5 séculos antes das Cruzadas.
Resposta: D
Comentário: Poderiam ter caprichado melhor na resposta correta. O Aluno poderia ter marcado a resposta “b”, pois a primeira parte da questão é correta e a segunda parte só está errada por que afirma que foi a inimizade entre as duas igrejas que gerou as Cruzadas. A inimizade é causa, mais secundária, pois a verdadeira causa foi a tomada da terra santa.
21 – Questão difícil. Somente Libéria e etiópia escaparam no continente africano do neo – colonialismo. 98 por cento da África foi tomada.
a) Correta. Incentivou o panafricanismo.
b) Outras nações islâmicas com o Egito superam a Etiópia.
c) Conceito histórico totalmente errado.
d)O Pan africanismo foi referendado na Conferência de Bandung em 1955; porém, as lutas no continente africano contra a colonização europeia, vem de vários movimentos do século XIX e são sementes do Pan-Africanismo.
e) Historicamente errada o fato não é correto.
22 – Questão muito fácil: O Destino Manifesto é uma doutrina Calvinista(Religiosidade) e , que prega a superioridade do homem branco, americano, colonizador(Excepicionalismo e civilzação).
Resposta: C
23 –
1- São as Bandeiras de interiorização da região norte os Droguistas do Sertão. Correta.
2- Atividade minerador foi no centro sul: Principalmente e Minas e Goiás. Errada.
3- Principalmente Cearenses no chamado ciclo da Borracha. Certo.
4- Tudo errado, inclusive a transamazônica nunca foi concluída. Errado.
Resposta: B
Questão bem fácil. Envolve os ciclos econômicos, em combinação com o expansionismo para o interior.
24 –
a)Manteve o poder moderador.
b)As 3 erradas.
c)As 3 erradas.
d)As 3 erradas.
e)Escravidão, latifúndio e mandonismo do poder das oligarquias rurais. Certo.
Resposta: E
Comentário: O Aluno poderia ficar com dúvida marcando a letra a. Porem um sistema imperialista
demanda falta de constituição e propriedade colonial, apesar de , latifúndio, remete a Engenhos de
açúcar.
25 –Comentário e resposta clara:B.
Imperialismo Branco(Britânico). Bastante acentuado no Darwinismo Social que orientou o Neocolonialismo do século XIX.
26 – Questão fácil. Comentário e resposta: O Famoso Modernismo Antropofágico. Um dos movimentos da década de 20 que foi uma das causas do enfraquecimento da República Velha.
Resposta: A
27 – Questão lindíssima!!! O Famoso Tenentismo, movimento de jovens oficiais do exército contra o mandonismo e vícios da República Velha, comandados pelas oligarquias rurais, dentro do coronelismo.
Reposta: D
ESPANHOL
83 – Importarse un bledo = Mostrar descaso.
Assunto: Expressão idiomática. Tema abordado nas aulas.
84 – Anulada
85 – Frases análogas
Privar del conocimiento = Desmayarse.
Assunto: Sinonímia de frases.
86 – Interpretação de texto.
Texto curto. Notícia extraída de site. Questão simples. Plenamente acessível.
87 – Interpretação de texto.
Texto curto. Notícia extraída de site. Questão facílima. Um presente de primavera ao candidato.
88 – Gramática
Conjunção temporal, clássica.
89 – Vocabulário
Talvez tenha sido a questão menos fácil da prova. Entretanto, pelo contexto da frase, o candidato chegava à resposta correta.
90 – Expressão idiomática.
Análise geral
Prova extraordinariamente acessível. Textos curtos e de fácil interpretação. Expressões idiomáticas clássicas do espanhol. A questão de gramática – mientras – foi perfeita. Os candidatos que optaram pela Língua Espanhola fizeram uma bela escolha.
FÍSICA
O texto a seguir é referência para as questões 28 a 36.
Em todas as questões, as medições são feitas por um referencial inercial. O módulo da aceleração gravitacional é representado por g. Onde for necessário, use g = 10 m/s2 para o módulo da aceleração gravitacional.
28 – Ao apresentar informações sobre grandezas físicas, a correta utilização de unidades de medida é tão importante quanto os valores numéricos dessas grandezas. O uso incorreto da unidade de medida pode alterar consideravelmente os resultados obtidos numa dada medida, podendo, inclusive, invalidar o processo. Considerando essas informações, uma unidade de medida de comprimento é o/a:
a) ano-luz.
b) atmosfera.
c) tesla.
d) watt.
e) hertz.

29 – Uma partícula com uma carga elétrica 𝑸= 𝟏,𝟔×𝟏𝟎−𝟏𝟗 C tem uma velocidade de módulo 𝒗= 𝟓,𝟎×𝟏𝟎𝟒 m/s. Num dado instante, ela entra numa região onde há um campo magnético de módulo 𝑩= 𝟏𝟎 mT. Nesse instante, o ângulo entre o campo magnético e a velocidade da partícula vale 𝜽, e sabe-se que 𝐜𝐨𝐬 𝜽= 𝟎,𝟖𝟎 e 𝐬𝐞𝐧 𝜽= 𝟎,𝟔𝟎. Considerando as informações apresentadas, assinale a alternativa que apresenta corretamente o valor do módulo 𝑭 da força magnética que surge sobre a partícula quando ela entra na região onde há o campo magnético.
a) 𝐹=1,6×10−17 N.
b) 𝐹=3,2×10−17 N.
c) 𝐹=4,8×10−17 N.
d) 𝐹=6,4×10−17 N.
e) 𝐹=8,0×10−17 N.

30 – Uma barra metálica retilínea tem um comprimento inicial 𝑳𝟎 a uma temperatura 𝑻𝟎. O material do qual a barra é feita tem um coeficiente de dilatação linear térmico de valor 𝜶=c𝟓×𝟏𝟎−𝟔 oC-1. Considerando as informações apresentadas, assinale a alternativa que apresenta corretamente o valor da variação de temperatura 𝚫𝑻 necessária para que essa barra apresente uma variação 𝚫𝑳 em seu comprimento igual a 0,2% de seu comprimento inicial.
a) Δ𝑇= 500 ∘C.
b) Δ𝑇= 400 ∘C.
c) Δ𝑇= 300 ∘C.
d) Δ𝑇= 200 ∘C.
e) Δ𝑇= 100 ∘C.

31 – Um objeto de massa 𝒎 constante está inicialmente parado sobre uma pista retilínea horizontal. Sobre ele passa a agir, num dado instante, uma força resultante constante de módulo 𝑭, também horizontal, paralela à pista, que produz no objeto um deslocamento 𝒅 ao longo da pista. A atuação da força cessa após produzir o deslocamento 𝒅. Sabe-se que 𝒎=𝟓𝟎𝟎 g, 𝑭=𝟏𝟔𝟎 N e 𝒅=𝟏𝟎 cm. Considerando as informações apresentadas, assinale a alternativa que apresenta corretamente o valor do módulo 𝒗 da velocidade do objeto após ele sofrer o deslocamento 𝒅.
a) 𝑣=2 m/s.
b) 𝑣=6 m/s.
c) 𝑣=8 m/s.
d) 𝑣=10 m/s.
e) 𝑣=16 m/s.

32 – Um dado resistor ôhmico, de resistência 𝑹, quando submetido a uma tensão 𝑽𝟏= 𝟓 V, dissipa uma potência 𝑷𝟏. Se o mesmo resistor for submetido a uma tensão 𝑽𝟐= 𝟏𝟎 V, a potência dissipada será 𝑷𝟐. Considerando as informações apresentadas, assinale a alternativa que apresenta corretamente a relação entre as potências dissipadas.
a) 𝑃2= 𝑃1/2.
b) 𝑃2= 𝑃1.
c) 𝑃2= 2𝑃1.
d) 𝑃2= 4𝑃1.
e) 𝑃2= 10𝑃1.


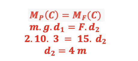
33 – A figura a seguir mostra uma prancha retilínea AB que deve ser mantida na horizontal, em equilíbrio estático.

O peso da prancha pode ser desprezado em comparação com as outras forças envolvidas. A prancha está apoiada num suporte triangular no ponto C, e sobre ela está colocado um objeto (que pode ser considerado pontual) de massa 𝒎= 𝟐,𝟎 kg a uma distância 𝒅𝟏= 𝟑,𝟎 m do suporte em C. Do outro lado do suporte, há uma força vertical 𝑭 orientada para baixo, de módulo 𝑭= 𝟏𝟓 N, que está aplicada na prancha num ponto que está a uma distância 𝒅𝟐 do suporte em C. Considerando as informações apresentadas, assinale a alternativa que apresenta corretamente o valor da distância 𝒅𝟐 para que a prancha seja mantida em equilíbrio estático.
a) 𝑑2= 0,4 m.
b) 𝑑2= 0,8 m.
c) 𝑑2= 2,0 m.
d) 𝑑2= 2,4 m.
e) 𝑑2= 4,0 m.

34 – Num dado local, a velocidade do som vale 𝒗𝒔= 𝟑𝟒𝟎 m/s. Considerando essa informação, assinale a alternativa que apresenta corretamente o valor do comprimento de onda de uma onda sonora produzida nesse local e que tenha um período 𝑻= 𝟐𝟎 ms.
a) 𝜆=1,7 m.
b) 𝜆=3,4 m.
c) 𝜆=6,8 m.
d) 𝜆=17 m.
e) 𝜆=34 m.

35 – Um objeto de massa 𝒎 constante se move sobre uma pista retilínea, paralela ao eixo 𝒙. No instante 𝒕𝟏= 𝟐 s, esse objeto está na posição 𝒙𝟏=𝟏 𝟎 cm. No instante 𝒕𝟐= 𝟔 s, ele é encontrado na posição 𝒙𝟐= 𝟐𝟎 cm. Sabe-se que em todo o movimento a força resultante sobre o objeto é nula. Diante do exposto, assinale a alternativa que apresenta corretamente o valor da velocidade 𝒗 desse objeto durante esse movimento.
a) 𝑣= 2,5 cm/s.
b) 𝑣= 4,0 cm/s.
c) 𝑣= 5,0 cm/s.
d) 𝑣= 7,5 cm/s.
e) 𝑣= 10 cm/s.

36 – Um raio luminoso se propaga de forma retilínea em um dado meio com uma velocidade de módulo 𝒗= 𝟓×𝟏𝟎𝟔 m/s. Sabendo que a velocidade da luz no vácuo vale, em módulo, 𝒗= 𝟑×𝟏𝟎𝟖 m/s, e considerando as informações apresentadas, assinale a alternativa que apresenta corretamente o valor do índice de refração 𝒏 desse material.
a) 𝑛= 6.
b) 𝑛= 12.
c) 𝑛= 20.
d) 𝑛= 30.
e) 𝑛= 60.





Leave a Comment